

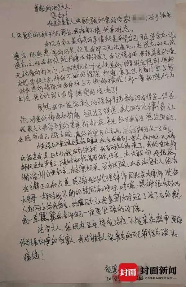
受害女孩写给法官的信 封面新闻 图
【中国经济新闻联播综合】9月14日,浙江温州发生一起快递员性侵女客户事件,据受害女生小柔(化名)及其朋友回忆,该快递员趁上门取件欲性侵小柔,并进行长达40分钟施暴行为,还在走时说“我喜欢你,会对你负责的”。被警方逮捕后,犯罪嫌疑人承认自己强奸未遂,随后检察院以涉嫌强奸罪批捕犯罪嫌疑人。9月26日,受害女生小柔(化名)被确诊为重度抑郁,并曾试图跳楼轻生。
12月4日,该案在鹿城区人民法院正式开庭,记者从小柔代理律师周兆成处获悉,开庭前小柔提出放弃全部民事赔偿,只求法庭重判被告人张某兵。在给法官的信中小柔写道:为了重判他,我可以不要他对我进行民事赔偿,也不要精神赔偿,我只求法官大人不要放纵这个禽兽。
代理律师周兆成表示,对此事他感觉意外和遗憾。他一直主张对被告人的性侵犯罪提起刑事附带民事诉讼,或单独提起民事诉讼包括精神损害赔偿,“但是,作为代理律师,我还是充分尊重受害人决定。所以,在庭审中,我将放弃就被害人因为被告人强奸犯罪提起的刑事附带民事诉讼请求。”周兆成律师说。
记者通过周兆成律师了解到,小柔放弃民事赔偿的原因主要有三点:
第一、从案发到开庭,此案经历的时间越长对受害人的伤害越大,受害人希望可以早点结束。受害人因为强奸犯罪而患上重度抑郁症,目前正在治疗中,受害人希望可以早点结束这个事情。
第二、受害人放弃民事赔偿,客观上也有利于法庭从快审理这个案件。
第三、受害人放弃民事诉求后,恳求法庭可以重判被告人。
周兆成律师表示,本案是严重的暴力犯罪,被告人张勇兵作为快递员利用其职务便利,光天化日之下,公然强奸被害人,虽然未遂,但是情节恶劣。被告人至今没有委托律师或家人对被害人主动道歉或赔偿,作为代理律师,会要求法庭必须对对被告人张勇兵进行严惩,还受害女性公道。
目前,该案还在进一步审理中。













